首页 > 新闻中心 > 江苏 > 南京

南京这些小区,支持老旧电梯更新!每台补贴15万元

来源: 南京日报微信公号

2025-10-10 17:50:00

南京298个小区的

3776台住宅老旧电梯

即将“焕新”

2025年10月9日,由南京市房产局指导、南京市城建集团所属环境集团负责建设运营的“电梯更新一体化服务平台”正式上线,这也是全国首个电梯更新线上平台。该平台将于10月11日分批次向市民开放线上投票功能,市民足不出户、动动手指,即可为所在小区选购心仪的新电梯。

记者了解到,此次纳入更新范围的住宅老旧电梯,每台可获南京市超长期特别国债15万元补贴;更新费用超出补贴的部分,由小区维修基金或居民自筹资金补充。对于未进入今年更新名录、但符合超长期国债支持条件的电梯,南京市将继续征集业主意愿,将其纳入明年及后续年度的申报项目储备库。

2025年南京市超长期特别国债

支持住宅老旧电梯更新公告

为做好2025年超长期国债资金支持住宅老旧电梯更新工作,充分用好国家“两新”政策,惠及广大市民,我市将通过“电梯更新一体化服务平台”阳光实施。电梯更新平台入口已在“宜居南京”微信公众号发布。请纳入更梯范围的业主按投票开放时间分批参与本小区电梯更新投票工作,争取早日开工建设。

补贴范围

01

本次电梯更新范围以上级批复的我市电梯更新名录为准,共涉及电梯3776台。补贴标准每台15万元。

由于名额限制,未能纳入今年更新名录,但符合超长期国债支持条件的电梯,我市将继续征集业主意愿,纳入明年及后续年度的申报项目储备库。每年更梯政策以当年国家发布信息为准。

阳光更梯

02

1、坚持居民主导、政府扶持、标准引领、阳光透明、稳妥有序的原则,由业主共同决策更新方案与品牌选择。

2、严格执行国家安全和节能环保标准,选择满足超长期国债要求及相关生产安装标准的产品。

3、依托线上平台实现业主投票、施工及验收等全流程公开透明,广泛接受社会监督。

电梯标准

03

本次电梯更新涉及的所有产品需符合国家有关法规标准以及《市场监管总局办公厅关于进一步做好住宅老旧电梯更新有关工作的通知》(市监特设发〔2025〕52号)中附件1的有关要求。电梯供应商应提供5年以上整机质保和全托管维护保养,并鼓励提供10年以上全托管维护保养供业主选择。每台电梯投资(含拆除、安装)须大于15万元。本方案发布前已开工实施的,按原合同规定的技术要求执行。

更新流程

04

(一)选择品牌

业主可以直接利用平台自主投票选择品牌,无需由业主代表组织投票;也可以集体委托业主自治组织、物业服务企业或社区等单位代为选择品牌。

平台为业主优选了10个品牌并按照“批量价优”的原则形成阶梯式价格供业主线上选择(平台仅提供7层及以上电梯)。

除平台提供品牌选择外,业主(受托方)也可通过其他途径选择任何电梯品牌。

(二)施工安装

业主(受托方)与电梯供应商签订合同后,由供应商编制涵盖更新全流程的施工方案,落实“一梯一方案”。

(三)验收支付

电梯更新安装完成经业主验收合格,办理使用登记后,平台将统一汇总整理国债补贴申报材料并协助申领;超出补贴部分由业主自筹。

相关规则

05

(一)时效规则

业主自投票开始15日内,可以通过投票方式选择平台优选的电梯品牌,也可以通过其他途径选择任何电梯品牌。在规定时间内未达成共同决议的,可延期1次,时间不超过7日。逾期仍未达成的,不再享有本次补贴资格。

候补名录由未列入今年计划、但经省或市电梯监督检验机构安全评估结论为需更新的电梯构成。候补名录内的电梯同步进行预投票,以形成共同决定时间先后排序。

(二)投票规则

根据《中华人民共和国民法典》第二百七十八条,电梯更新方案须经专有部分面积及人数占比均超三分之二的业主参与表决,且获得参与表决中面积和人数四分之三以上的同意;按楼栋投票并按小区选择品牌,同一小区内的更新电梯宜采用统一品牌,以得票最多来确定。

(三)委托规则

业主可以委托业主自治组织、物业服务企业或社区等单位代为实施。受托人应当自行组织业主投票,由专有部分面积及人数占比均超三分之二的业主参与表决,且获得参与表决中面积和人数四分之三以上的同意。

(四)支付规则

业主无需支付首付款,相关设备及安装费用另与供应商结算。涉及工程监理和审价的费用应当由业主支付。通过平台选梯的,电梯供应商自愿替业主承担监理和审价费用。

待项目竣工验收后,将国债补贴直接支付给供应商。超出部分由业主自筹,符合条件的可申请维修资金支付;其他情况则应由业主自付补足。

业主提示

06

施工期间应自觉遵守现场安全规定、不随意进入施工区域,发现问题及时向物业或相关单位反映。电梯更新结束后,按合约及时支付货款。电梯交付使用后,规范使用、爱护设备,共同维护良好的乘梯环境。

监督管理

07

在电梯更新项目的民意征集、投票等环节中,任何单位或个人如存在弄虚作假、骗补套补行为,取消其补贴资格、收回已发放补贴;业委会等第三方存在强制委托或骗取委托资格的,取消受托方资格并追究其责任。

在项目施工过程中,供货商虚假宣传、质价不符,货不对板的;施工单位危险施工、扰民严重、拖延工期的;物业企业不履约、不配合,吃拿卡要的,应限期改正并追究其责任。

各区房产(住建)和市场监督部门将公布咨询投诉电话,一经查实,将依法严肃处理。涉嫌违法犯罪的,依法移送司法机关处理。

南京市电梯更新咨询投诉电话

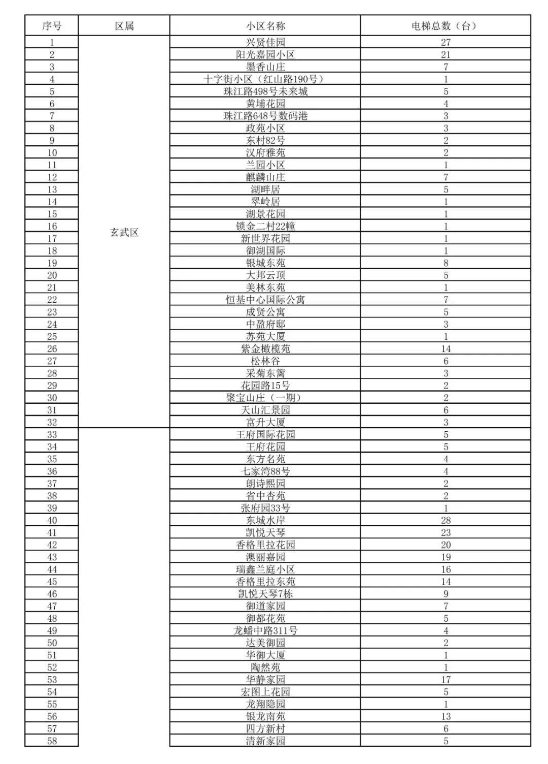
南京市2025年度

超长期特别国债

支持住宅老旧电梯更新名录↓

内容来源:南京日报/紫金山新闻记者 孙琳 通讯员 吴子伯、南京市住房保障和房产局