首页 > 新闻中心 > 天下事

用一生研究核武器 他一封公开信召唤万千学子归国

来源: 央视新闻客户端

2026-02-26 09:41:00

“我们中国要出头的

我们的民族再也不是

一个被人侮辱的民族了!

我们已经站起来了

回去吧赶快回去吧!

祖国在迫切地等待我们!”

这段铿锵有力的文字

出自著名的

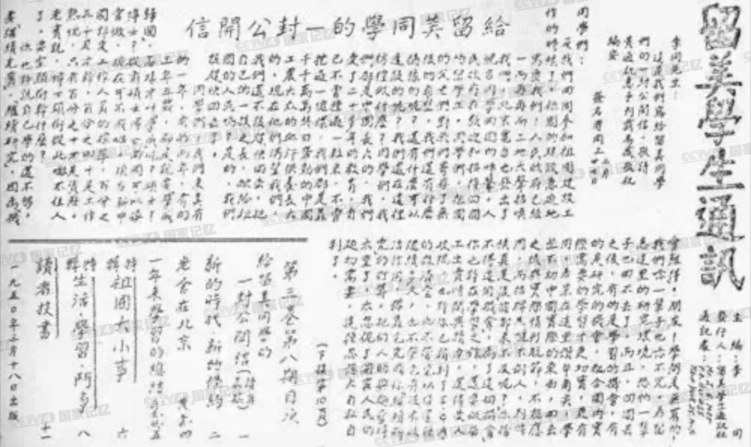
《给留美同学的一封公开信》

这封信一经公开

就在中国留学生中引起轰动

《给留美同学的一封公开信》

牵头组织起草这封公开信的

是25岁的朱光亚

△青年朱光亚

后来

他成为中国首枚原子弹研制的

技术总负责人

被誉为中国核武器研究领域的

“众帅之帅”

他说:

“我这一辈子做的就一件事,

搞中国的核武器。”

15年前的今天

朱光亚因病于北京逝世

享年87岁

今天我们一起

向“两弹一星”元勋朱光亚院士致敬

我们会永远记住您的名字!

缅怀!致敬!