首页 > 新闻中心 > 文旅

南京3776台老旧电梯将“焕新”,每台补贴15万元

来源: 紫牛新闻

2025-10-10 19:30:00

扬子晚报网10月10日讯(记者 马祚波)记者10月10日从南京房产微政务了解到,为做好2025年超长期国债资金支持住宅老旧电梯更新工作,“电梯更新一体化服务平台”已于近日正式上线,本次更新范围涉及电梯3776台,补贴标准为每台15万元。

据介绍,此次纳入更新范围的住宅老旧电梯,每台可获南京市超长期特别国债15万元补贴;更新费用超出补贴的部分,由小区维修基金或居民自筹资金补充。对于未进入今年更新名录、但符合超长期国债支持条件的电梯,南京市将继续征集业主意愿,将其纳入明年及后续年度的申报项目储备库。

在电梯标准上,本次电梯更新涉及的所有产品需符合国家有关法规标准以及《市场监管总局办公厅关于进一步做好住宅老旧电梯更新有关工作的通知》(市监特设发〔2025〕52号)中附件1的有关要求。电梯供应商应提供5年以上整机质保和全托管维护保养,并鼓励提供10年以上全托管维护保养供业主选择。每台电梯投资(含拆除、安装)须大于15万元。本方案发布前已开工实施的,按原合同规定的技术要求执行。

在更新流程上主要分为三个步骤:

(一)选择品牌

业主可以直接利用平台自主投票选择品牌,无需由业主代表组织投票;也可以集体委托业主自治组织、物业服务企业或社区等单位代为选择品牌。

平台为业主优选了10个品牌并按照“批量价优”的原则形成阶梯式价格供业主线上选择(平台仅提供7层及以上电梯)。除平台提供品牌选择外,业主(受托方)也可通过其他途径选择任何电梯品牌。

(二)施工安装

业主(受托方)与电梯供应商签订合同后,由供应商编制涵盖更新全流程的施工方案,落实“一梯一方案”。

(三)验收支付

电梯更新安装完成经业主验收合格,办理使用登记后,平台将统一汇总整理国债补贴申报材料并协助申领;超出补贴部分由业主自筹。

相关规则:

(一)时效规则

业主自投票开始15日内,可以通过投票方式选择平台优选的电梯品牌,也可以通过其他途径选择任何电梯品牌。在规定时间内未达成共同决议的,可延期1次,时间不超过7日。逾期仍未达成的,不再享有本次补贴资格。

候补名录由未列入今年计划、但经省或市电梯监督检验机构安全评估结论为需更新的电梯构成。候补名录内的电梯同步进行预投票,以形成共同决定时间先后排序。

(二)投票规则

根据《中华人民共和国民法典》第二百七十八条,电梯更新方案须经专有部分面积及人数占比均超三分之二的业主参与表决,且获得参与表决中面积和人数四分之三以上的同意;按楼栋投票并按小区选择品牌,同一小区内的更新电梯宜采用统一品牌,以得票最多来确定。

(三)委托规则

业主可以委托业主自治组织、物业服务企业或社区等单位代为实施。受托人应当自行组织业主投票,由专有部分面积及人数占比均超三分之二的业主参与表决,且获得参与表决中面积和人数四分之三以上的同意。

(四)支付规则

业主无需支付首付款,相关设备及安装费用另与供应商结算。涉及工程监理和审价的费用应当由业主支付。通过平台选梯的,电梯供应商自愿替业主承担监理和审价费用。

待项目竣工验收后,将国债补贴直接支付给供应商。超出部分由业主自筹,符合条件的可申请维修资金支付;其他情况则应由业主自付补足。



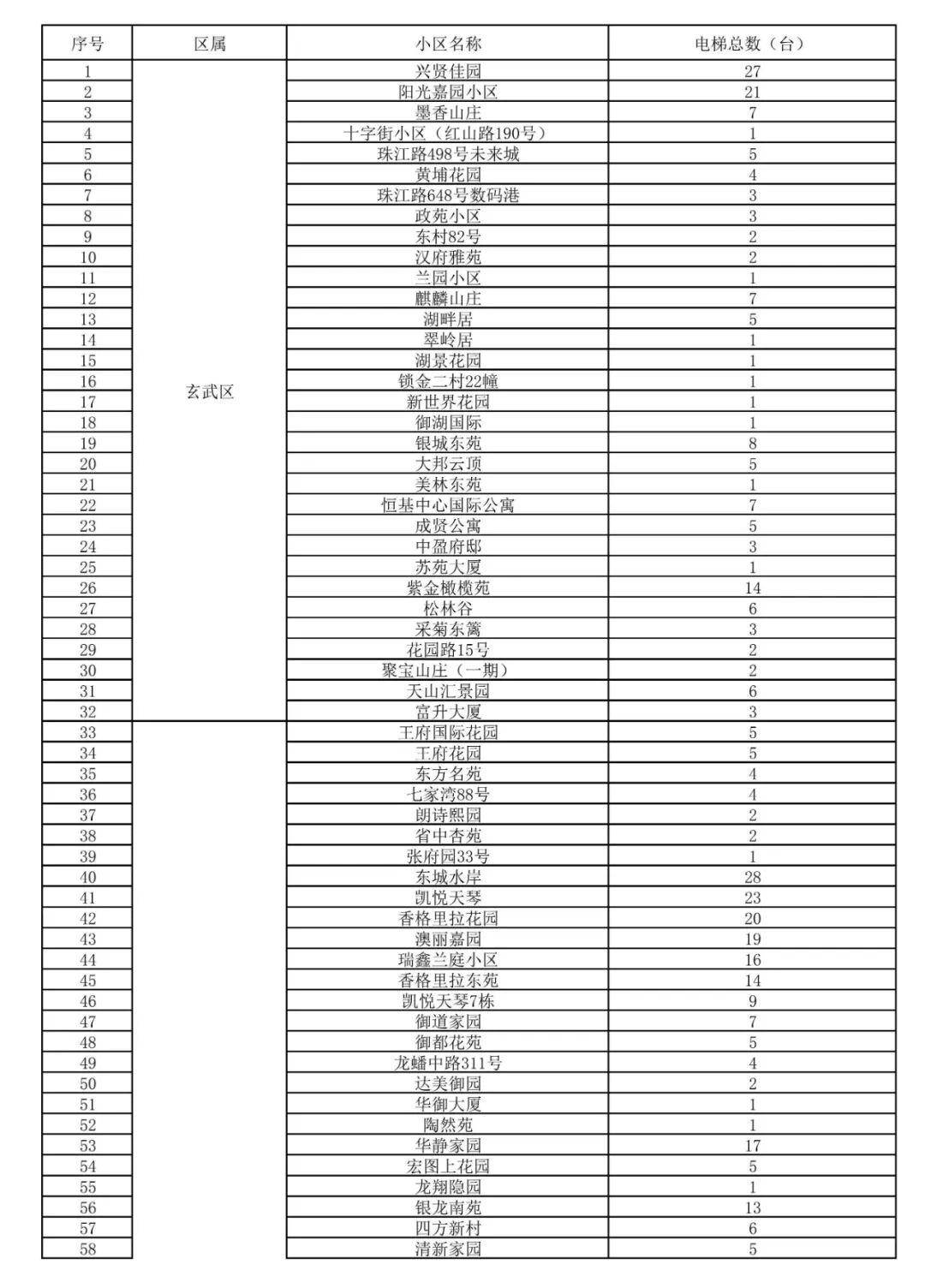
南京市2025年度超长期特别国债支持住宅老旧电梯更新名录


校对 盛媛媛